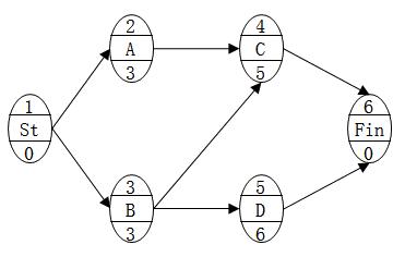
單代號網(wǎng)絡計劃如下圖所示(時間單位:天),工作C的最遲開始時間是(?。?/h1>
2020年二級建造師考試有部分地區(qū)已經(jīng)進入報名階段,考生們都在積極進行備考,做一下模擬習題也成為許多考生備考時必不可少的一步,今天就為大家提供了《建設工程施工管理》模擬試題及解析,為考生們助跑2020年二級建造師考試!
單代號網(wǎng)絡計劃如下圖所示(時間單位:天),工作C的最遲開始時間是(?。?。

A.0
B.1
C.3
D.4
『正確答案』D
『答案解析』本題考查的是單代號網(wǎng)絡計劃。工作C的最遲開始時間=工作C的最遲完成時間-持續(xù)時間=9-5=4天。
本題涉及知識點:




