2020年二級建造師報名在即,考生們都在積極備考,但有許多考生可能在這個階段會不知從何下手來進行學習,小編為大家整理了二級建造師《建設工程施工管理》的一些知識點與考點,希望對考生們有所幫助。
考點:單代號網絡計劃
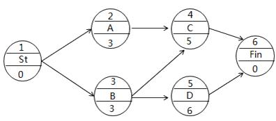
【例題】單代號網絡計劃如下圖所示(時間單位:天),工作C的最遲開始時間是(?。?/p>

A.0
B.1
C.3
D.4
『正確答案』D
『答案解析』本題考查的是單代號網絡計劃。
(1)根據單代號網絡圖,確定每一項工作的緊后工作。見下表。

(2)根據上表的邏輯關系,繪制雙代號網絡圖,見下圖。

由上圖可見,C工作的最遲開始時間為第4天。故選答案D。
推薦:
2020二級建造師精華考點&思維腦圖免費領:
2020年二級建造師習題強化班開通:
學員討論(0)
相關資訊
- · 關于2026年度河南省二級建造師執(zhí)業(yè)資格考試有關問題的通知
- · 廣州市2026年度二級建造師執(zhí)業(yè)資格考試報考熱點問答
- · 江西省2026年度二級建造師執(zhí)業(yè)資格考試考務工作的通知
- · 湖南省2026年度二級建造師執(zhí)業(yè)資格考試考務工作的通知
- · 廣東省2026年度二級建造師執(zhí)業(yè)資格考試報考須知
- · 山西省2026年度二級建造師執(zhí)業(yè)資格考試考務工作的通知
- · 甘肅省二級建造師職業(yè)資格考試報名常見問題解答
- · 關于2026年度云南省二級建造師執(zhí)業(yè)資格計算機化考試有關工作的通知
- · 2026年度青海省二級建造師資格考試報名安排的通知
- · 關于做好上海市2026年度二級建造師執(zhí)業(yè)資格考試工作的通知







![[em2_01]](https://live.cdeledu.com/web/images/emoji/01.png)
![[em2_02]](https://live.cdeledu.com/web/images/emoji/02.png)
![[em2_03]](https://live.cdeledu.com/web/images/emoji/03.png)
![[em2_04]](https://live.cdeledu.com/web/images/emoji/04.png)
![[em2_05]](https://live.cdeledu.com/web/images/emoji/05.png)
![[em2_06]](https://live.cdeledu.com/web/images/emoji/06.png)
![[em2_07]](https://live.cdeledu.com/web/images/emoji/07.png)
![[em2_08]](https://live.cdeledu.com/web/images/emoji/08.png)
![[em2_09]](https://live.cdeledu.com/web/images/emoji/09.png)
![[em2_10]](https://live.cdeledu.com/web/images/emoji/10.png)
![[em2_11]](https://live.cdeledu.com/web/images/emoji/11.png)
![[em2_12]](https://live.cdeledu.com/web/images/emoji/12.png)
![[em2_13]](https://live.cdeledu.com/web/images/emoji/13.png)
![[em2_14]](https://live.cdeledu.com/web/images/emoji/14.png)
![[em2_15]](https://live.cdeledu.com/web/images/emoji/15.png)
![[em2_16]](https://live.cdeledu.com/web/images/emoji/16.png)
![[em2_17]](https://live.cdeledu.com/web/images/emoji/17.png)
![[em2_18]](https://live.cdeledu.com/web/images/emoji/18.png)
![[em2_19]](https://live.cdeledu.com/web/images/emoji/19.png)
![[em2_20]](https://live.cdeledu.com/web/images/emoji/20.png)






掃一掃立即下載
掃碼添加老師