2021年一級建造師已經進入備考階段,但有許多考生可能在這個階段會不知從何下手來進行學習,小編為大家整理了一級建造師《建設工程經濟》的一些考點,希望對考生們有所幫助。
產銷量(工程量)盈虧平衡分析的方法
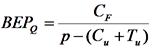
根據量本利圖,則有
(Cu+Tu)×Q+CF=p×Q
★產銷量的盈虧平衡點BEP(Q)
【例1Z101032-1】某技術方案年設計生產能力為10萬臺,年固定成本為1200萬元,產品單臺銷售價格為900元,單臺產品可變成本為560元,單臺產品稅金及附加為120元。試求盈虧平衡點的產銷量。
解:根據式可得:
【例題·單選題】某項目設計生產能力為50萬件/年,預計單位產品售價為150元,單位產品可變成本為130元,固定成本為400萬元,該產品稅金及附加的合并稅率為5%。則用產銷量表示的盈虧平衡點是( )萬件。
A.14.55 B.20.60 C.29.63 D.32.00
『正確答案』D
『答案解析』本題考查的是盈虧平衡分析。(150-130-150×5%)x-400=0。解得X=32(萬件)。
推薦:
一級建造師備考資料包↓↓↓








![[em2_01]](https://live.cdeledu.com/web/images/emoji/01.png)
![[em2_02]](https://live.cdeledu.com/web/images/emoji/02.png)
![[em2_03]](https://live.cdeledu.com/web/images/emoji/03.png)
![[em2_04]](https://live.cdeledu.com/web/images/emoji/04.png)
![[em2_05]](https://live.cdeledu.com/web/images/emoji/05.png)
![[em2_06]](https://live.cdeledu.com/web/images/emoji/06.png)
![[em2_07]](https://live.cdeledu.com/web/images/emoji/07.png)
![[em2_08]](https://live.cdeledu.com/web/images/emoji/08.png)
![[em2_09]](https://live.cdeledu.com/web/images/emoji/09.png)
![[em2_10]](https://live.cdeledu.com/web/images/emoji/10.png)
![[em2_11]](https://live.cdeledu.com/web/images/emoji/11.png)
![[em2_12]](https://live.cdeledu.com/web/images/emoji/12.png)
![[em2_13]](https://live.cdeledu.com/web/images/emoji/13.png)
![[em2_14]](https://live.cdeledu.com/web/images/emoji/14.png)
![[em2_15]](https://live.cdeledu.com/web/images/emoji/15.png)
![[em2_16]](https://live.cdeledu.com/web/images/emoji/16.png)
![[em2_17]](https://live.cdeledu.com/web/images/emoji/17.png)
![[em2_18]](https://live.cdeledu.com/web/images/emoji/18.png)
![[em2_19]](https://live.cdeledu.com/web/images/emoji/19.png)
![[em2_20]](https://live.cdeledu.com/web/images/emoji/20.png)





掃一掃立即下載
掃碼添加老師